微信扫一扫联系
近日,财政部发布《财政部国家卫生健康委国家中医药局关于提前下达2023年医疗服务与保障能力提升(公立医院综合改革)补助资金预算的通知》《财政部国家卫生健康委关于提前下达2023年医疗服务与保障能力提升(医疗卫生机构能力建设)补助资金预算的通知》《财政部国家卫生健康委国家中医药局国家疾控局关于提前下达2023年医疗服务与保障能力提升(卫生健康人才培养)补助资金预算的通知》《财政部国家卫生健康委国家疾控局关于提前下达2023年重大传染病防控经费预算的通知》等文件。

其中,提前下达2023年医疗服务与保障能力提升(公立医院综合改革)补助资金80亿元,用于推进公立医院综合改革,补助资金与去年基本持平。因素法分配公立医院综合改革补助资金50亿元,公立医院改革与高质量发展示范项目补助资金30亿元。
提前下达2023年医疗服务与保障能力提升(医疗卫生机构能力建设)补助资金39.85亿余元,用于提升医疗卫生机构能力建设和服务水平。对比去年提前下达的48.42亿元有所下降。
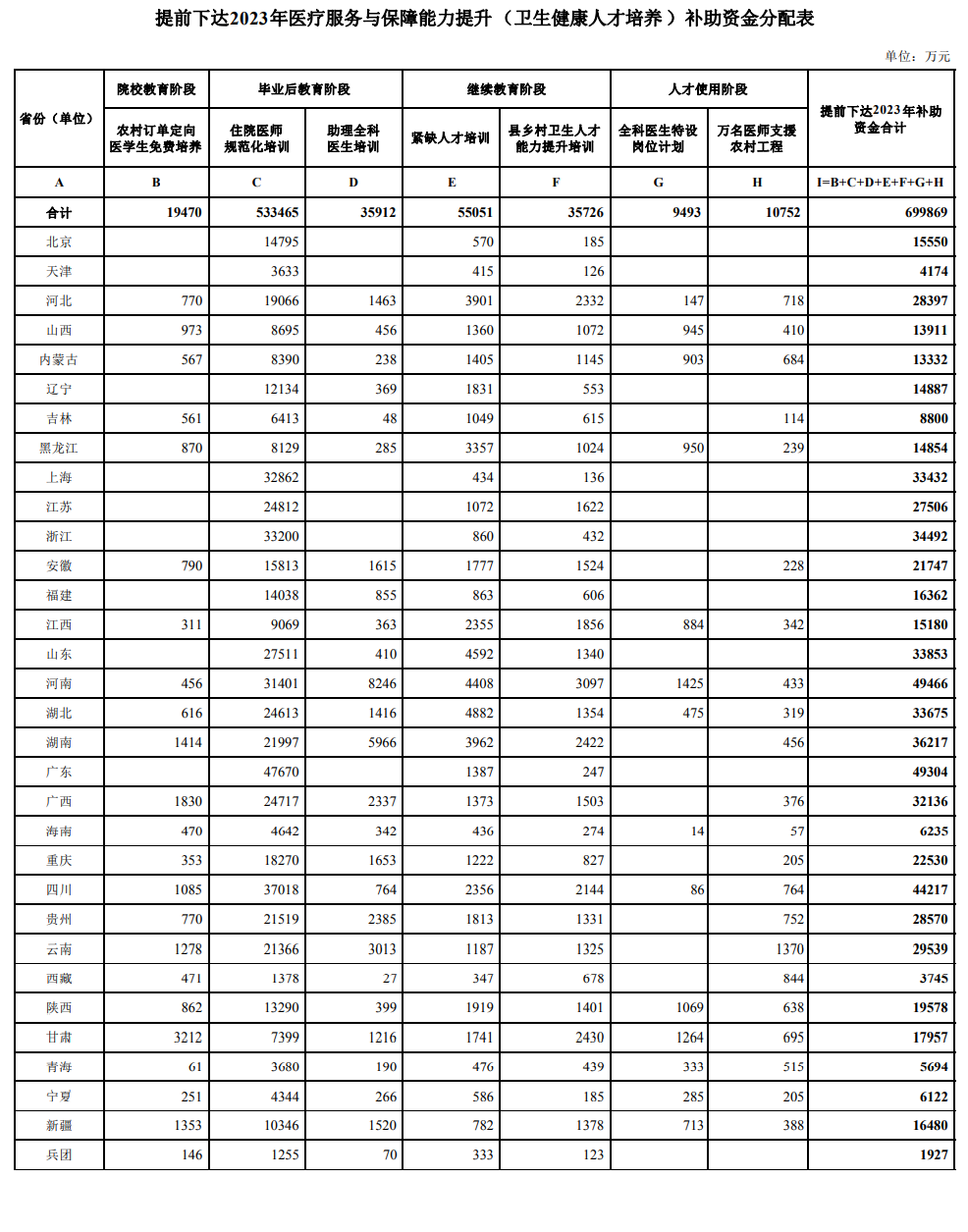
提前下达2023年医疗服务与保障能力提升(卫生健康人才培养)补助资金69.98亿余元,用于支持开展卫生健康人才培养工作。对比去年提前下达的76.26亿元也有所下降。
上述三项补助资金共计189亿余元。



除医疗服务与保障能力提升补助资金提前下达情况外,财政部同日还发布了重大传染病防控经费预算。
具体来看,提前下达2023年重大传染病防控经费156.4亿余元,主要用于扩大国家免疫规划、艾滋病防治、结核病防治、血吸虫与包虫病防治、精神卫生与慢性非传染性疾病防治、重点传染病及健康危害因素监测等工作。
根据2019年发布的《重大传染病防控补助资金管理办法》,重大传染病防控补助资金主要用于药品治疗等需方补助和医疗卫生机构开展随访管理,加强实验室建设和设备配置能力建设,以及开展相关工作所需经费等支出。
也就是说,部分资金将用于设备配置。
近两年,重大传染病防控经费有所增长。2020年提前下达经费107.96亿余元,2021年提前下达经费119.24亿余元,2022年提前下达经费升至155.72亿余元。
2023年提前下达经费较去年基本持平,但“重点传染病及健康危害因素监测”一项的经费达到18亿余元,对比上一年度“新冠肺炎等重点传染病检测项目”5亿余元的经费,上涨较为明显。

今年下半年,卫生健康领域中央基建投资预算资金相继下发。此外,财政贴息贷款更新改造医疗设备政策出台,医疗市场迅速升温。
今年10月,据财政部官微消息,中央财政下达2022年卫生健康领域中央基建投资预算265.21亿元。涉及项目包括各省市疾病预防控制中心、区域医疗中心、各级医疗机构的新建、扩建、迁建项目,能力达标提升项目以及医疗设备购置项目等。
《关于下达2022年卫生健康领域(第三批)中央基建投资预算的通知》,要拓展公共卫生防控和救治成果,加强应对大规模疫情集中隔离收治设施建设,加快优质医疗资源扩容和区域均衡布局,全方位保障重点人群健康,促进中医药传承创新发展。
近年来,我国持续推动公立医院高质量发展。重点支持国家医学中心、区域医疗中心建设,推动省域优质医疗资源扩容下沉,支持脱贫地区、三区三州、中央苏区、易地扶贫搬迁安置地区县级医院提标扩能。
大三甲高端医疗设备配备需求仍在。此外分级诊疗的受重视程度不断攀升,县域医疗市场日渐火热。许多以往在县域无法开展的手术也相继开展,县医院相关科室建设不断加码。
今年9月,国常会确定专项再贷款与财政贴息配套支持部分领域设备更新改造。国家卫健委发布通知,拟使用财政贴息贷款更新改造医疗设备。专家预测,全国范围内将带来约2000亿元的医疗设备贷款需求。
很明显,2023年的医院新基建将向更大更深范围扩展,新一轮医疗器械采购潮即将来袭。
转载自赛柏蓝器械